Page 159 - Cost-Benefit Analysis of agricultural waste management methods
P. 159
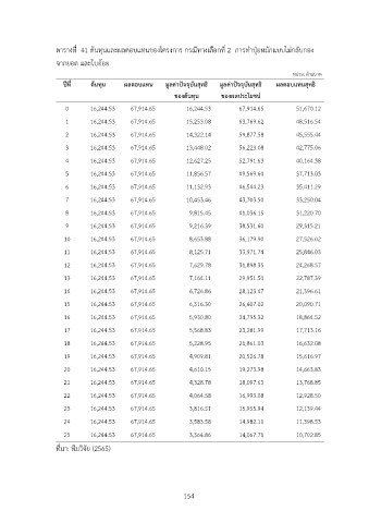
ตารางที่ 41 ตDนทุนและผลตอบแทนของโครงการ กรณีทางเลือกที่ 2 การทำปุยหมักแบบไมIกลับกอง
จากยอด และใบอDอย
หน-วย: ล>านบาท
ปWที่ ตLนทุน ผลตอบแทน มูลคBาปpจจุบันสุทธิ มูลคBาปpจจุบันสุทธิ ผลตอบแทนสุทธิ
ของตLนทุน ของผลประโยชนT
0 16,244.53 67,914.65 16,244.53 67,914.65 51,670.12
1 16,244.53 67,914.65 15,253.08 63,769.62 48,516.54
2 16,244.53 67,914.65 14,322.14 59,877.58 45,555.44
3 16,244.53 67,914.65 13,448.02 56,223.08 42,775.06
4 16,244.53 67,914.65 12,627.25 52,791.63 40,164.38
5 16,244.53 67,914.65 11,856.57 49,569.60 37,713.03
6 16,244.53 67,914.65 11,132.93 46,544.23 35,411.29
7 16,244.53 67,914.65 10,453.46 43,703.50 33,250.04
8 16,244.53 67,914.65 9,815.45 41,036.15 31,220.70
9 16,244.53 67,914.65 9,216.39 38,531.60 29,315.21
10 16,244.53 67,914.65 8,653.88 36,179.90 27,526.02
11 16,244.53 67,914.65 8,125.71 33,971.74 25,846.03
12 16,244.53 67,914.65 7,629.78 31,898.35 24,268.57
13 16,244.53 67,914.65 7,164.11 29,951.50 22,787.39
14 16,244.53 67,914.65 6,726.86 28,123.47 21,396.61
15 16,244.53 67,914.65 6,316.30 26,407.02 20,090.71
16 16,244.53 67,914.65 5,930.80 24,795.32 18,864.52
17 16,244.53 67,914.65 5,568.83 23,281.99 17,713.16
18 16,244.53 67,914.65 5,228.95 21,861.03 16,632.08
19 16,244.53 67,914.65 4,909.81 20,526.78 15,616.97
20 16,244.53 67,914.65 4,610.15 19,273.98 14,663.83
21 16,244.53 67,914.65 4,328.78 18,097.63 13,768.85
22 16,244.53 67,914.65 4,064.58 16,993.08 12,928.50
23 16,244.53 67,914.65 3,816.51 15,955.94 12,139.44
24 16,244.53 67,914.65 3,583.58 14,982.11 11,398.53
25 16,244.53 67,914.65 3,364.86 14,067.71 10,702.85
ที่มา: ทีมวิจัย (2565)
154

