Page 147 - Cost-Benefit Analysis of agricultural waste management methods
P. 147
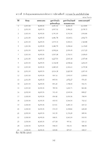
ตารางที่ 33 ตDนทุนและผลตอบแทนของโครงการ กรณีทางเลือกที่ 1 จากยอด ใบ และลำตDนขDาวโพด
หน>วย: ล:านบาท
ปWที่ ตLนทุน ผลตอบแทน มูลคBาปpจจุบัน มูลคBาปpจจุบันสุทธิ ผลตอบแทนสุทธิ
สุทธิของตLนทุน ของผลตอบแทน
0 2,031.50 4,245.35 2,031.50 4,245.35 2,213.85
1 2,031.50 4,245.35 1,907.51 3,986.25 2,078.73
2 2,031.50 4,245.35 1,791.09 3,742.96 1,951.86
3 2,031.50 4,245.35 1,681.78 3,514.51 1,832.73
4 2,031.50 4,245.35 1,579.13 3,300.01 1,720.88
5 2,031.50 4,245.35 1,482.75 3,098.60 1,615.85
6 2,031.50 4,245.35 1,392.26 2,909.49 1,517.23
7 2,031.50 4,245.35 1,307.28 2,731.91 1,424.63
8 2,031.50 4,245.35 1,227.50 2,565.18 1,337.68
9 2,031.50 4,245.35 1,152.58 2,408.62 1,256.04
10 2,031.50 4,245.35 1,082.23 2,261.61 1,179.38
11 2,031.50 4,245.35 1,016.18 2,123.58 1,107.40
12 2,031.50 4,245.35 954.16 1,993.97 1,039.81
13 2,031.50 4,245.35 895.93 1,872.27 976.35
14 2,031.50 4,245.35 841.25 1,758.00 916.76
15 2,031.50 4,245.35 789.90 1,650.71 860.80
16 2,031.50 4,245.35 741.69 1,549.96 808.27
17 2,031.50 4,245.35 696.42 1,455.36 758.94
18 2,031.50 4,245.35 653.92 1,366.54 712.62
19 2,031.50 4,245.35 614.01 1,283.13 669.12
20 2,031.50 4,245.35 576.53 1,204.82 628.28
21 2,031.50 4,245.35 541.35 1,131.29 589.94
22 2,031.50 4,245.35 508.31 1,062.24 553.93
23 2,031.50 4,245.35 477.28 997.41 520.12
24 2,031.50 4,245.35 448.15 936.53 488.38
25 2,031.50 4,245.35 420.80 879.37 458.57
ที่มา: ทีมวิจัย (2565)
142

